响应表面优化Cr + 6的固定床吸附到低成本吸附剂上
1土木工程系,Jawaharal Nehru Technology大学,Anantapuramu India。
通讯作者电子邮件:padmajamegham@gmail.com.
DOI:http://dx.doi.org/10.12944/cwe.15.3.28
复制以下引用这篇文章:
王志强,王志强。低成本吸附剂在固定床上吸附Cr+6的响应面优化。世界环境2020;15(3)。DOI:http://dx.doi.org/10.12944/cwe.15.3.28
复制以下内容以引用此URL:
王志强,王志强。低成本吸附剂在固定床上吸附Cr+6的响应面优化。世界环境2020;15(3)。可以从:https://bit.ly/32WTNfs
文章出版历史
| 收到: | 26-03-2020 |
|---|---|
| 公认: | 29-10-2020 |
| 审核: | ![]() Rajaa G |
| 第二次审查: | ![]() 博士Anoop克里希南 |
| 最终批准: | 塔·K博士 |
介绍
作为产生大量铬的每个工业废物中,制革所污染物是最值得注意的污染物。例如,在印度单独,大约2000-3000吨CR+6每年都从制革厂逃到水里。建议的铬允许值为2 mg/l,而废水中铬允许值在2000 ~ 5000 mg/l范围内。
铬浓度升高可能导致许多有毒,致突变性和致癌的健康效果。在三种氧化态中,Cr+3是最稳定的。Cr.+3对于人类所需的痕量,虽然在水环境中不稳定,但由于其在水中较低。Cr.+6在工业废水中的浓度范围为0.5至270毫克/升,这对包括植物和动物在内的许多生物都具有高度毒性。[2].Cr的排放+6具有0.1mg / L(进入内陆表面水)的公差限制,0.05mg / L(进入饮用水)[3,4]。
采用了多种除铬技术,包括还原[5]、化学沉淀法、电化学沉淀法、离子交换法、吸附法、溶剂萃取法、生物吸附[6]、膜分离[7]、反渗透和纳滤[8]、乳化牵引技术[9]。在这些方法的种种缺点中,最重要的是不经济。吸附技术由于其成本效益和可再生性质而被考虑。吸附可以去除重金属、染料、酚类等多种污染物[10,11]。
响应面法被许多研究者用于优化吸附过程中的各种工艺参数。一些研究不利于许多低成本吸附剂的使用,包括农业废弃物、水果废弃物、微生物、工业废弃物、污泥等[12-20]。
本文研究了虾壳粉对水中铬的去除效果。对不同粒径、不同床层深度的SSW粉的去除率进行了测试,并进行了对比研究。为了优化和减少实验的复杂度和时间,采用响应面法进行工艺优化。
材料和方法
股票溶液的制备
已知数量为0.2828克的二色素(K.2CR.2O.7.)溶于100ml去离子水中,制备浓度为1000ppm的Cr(VI)标准溶液。随后从进行实验的标准溶液中进行稀释;初始浓度(50 mg/L)和最终浓度由波长为520 ~ 550 nm[21]的紫外-可见分光光度计测定。
样品的pH由酸(HCl)和碱(NaCl)调节。铬的氧化+3对Cr+6要求在分析每个样品前进行,以减少Cr+6对Cr+3。
虾壳粉的制备
虾壳废物是从海产品加工单元获得的;收集后,将它们洗涤,干燥并大致研磨至粉末。然后,将粉末浸泡在HCl中过夜,然后用碱(NaCl)处理以除去任何痕量的酸,然后用脱离离子水彻底冲洗以获得中性pH。现在洗涤的材料是晒干的,然后在103±2的烤箱中a -¦C.将干燥后的粉末命名为虾壳废粉(SSW),进一步粉碎,筛分后得到的颗粒尺寸分别为150微米、300微米和600微米。这三种不同大小的粉末被储存在密封袋中供实验使用。
连续固定床柱研究
在实验室中设置内径为2.5厘米、床层高度为50厘米的柱,进行连续固定床柱研究。在不同床层深度和吸附剂尺寸的柱床中分别填充已知数量的新鲜研磨的SSW粉末。已知初始浓度的金属溶液(C一世
[22]采用蠕动泵连续泵送,流量为(V.
所有标本的集合,= 5毫升/分钟。可以通过下面给出的等式估计金属吸附能力:
在那里,CE.和m为Cr的平衡浓度+6柱内所用吸附剂的离子和重量。
中心复合设计(CCD)
响应面法中广泛采用的拟合模型是CCD。在这种方法中,实验建模只需要最少的实验次数。通常,中央复合材料设计(CCD)涉及到2N的阶乘,NC中心运行(六次重复)。使用ANOVA(方差分析)的响应表面模型已经从相应的实验反应和相应的优化因子到达。此外,使用响应表面方法估计统计参数。基本上,过程优化包括三个主要步骤,用于使用用于系数计算和响应预测的数学模型来执行实验(DOE)的设计,并检查模型的适当性。
结果与讨论
大小对吸附能力的影响
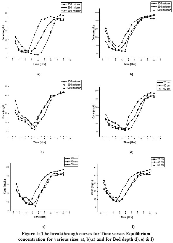
用初始CR进行三个选定吸附剂尺寸150,300和600微米的列实验的复制+6浓度为50ppm。如前所述,本研究共构建了9个不同因素的实验集。表1显示了Cr的浓度+6柱吸附中的0.5至8.0小时。注意到金属离子去除速度增加,直到特定的时间增量,后来,它逐渐降低,因为它达到吸附材料的饱和度。用于每种实验组的新鲜吸附剂,观察到上述因素的吸附能力,具有三个水平。针对所有三种吸附尺寸和值计算的复制的平均值在表1中给出。柱突破性分析在吸附剂的饱和时间和吸附程度上呈现了一个想法,因此可以与其他吸附剂进行比较它们的适合性分析。所选择的吸附剂尺寸的突破曲线绘制20cm,40cm和60cm的床深度,如图1a),b)&c)所示。显然是最小的大小吸附剂,即150μm达到比其他突破(平衡)浓度达到突破(平衡)浓度。最高的性能(去除)为2.23ppm,5.13ppm和7.45ppm分别如150μm>300μm>600μm尺寸所示。上述具体说明,吸附剂尺寸越小,吸附容量越大,虽然表面积较小的颗粒较小但更多的这种颗粒占据柱子可能是原因。
表1:吸附浓度W.R.T床深度atvarioustime间隔
时间(小时) |
CR.+6浓缩的。(mg/L) = 50 mg/L |
||||||||
BD = 20厘米 |
BD = 40厘米 |
BD = 60厘米 |
|||||||
一种 |
B. |
C |
一种 |
B. |
C |
一种 |
B. |
C |
|
0.5 |
16.42 |
18.53 |
22.98 |
14.77 |
27.34 |
30.99 |
20.98 |
23.75 |
34.32 |
1 |
9.67 |
8.43 |
17.65 |
8.02 |
14.78 |
18.43 |
14.23 |
17 |
21.76 |
1.5 |
7.49 |
6.45 |
13.09 |
5.87 |
10.54 |
14.19 |
12.05 |
14.82 |
17.52 |
2 |
6.24 |
5.87 |
8.54 |
4.59 |
6.54 |
9.76 |
10.8 |
15.88 |
13.09 |
2.5 |
5.56 |
7.9 |
7.65 |
3.91 |
5.32 |
8.97 |
8.12 |
12.65 |
12.3 |
3. |
4.65 |
16.96 |
7.34 |
3.33 |
7.54 |
13.87 |
3.87 |
8.55 |
7.45 |
3.5 |
3.98 |
26.09 |
10.67 |
2.99 |
12.76 |
22.76 |
2.23 |
5.13 |
10.43 |
4. |
3.56 |
34.45 |
16.86 |
18 |
20.66 |
27.45 |
9.65 |
14.78 |
16.75 |
4.5 |
5.56 |
42.68 |
22.87 |
24.01 |
27.44 |
34.87 |
13.87 |
21.66 |
22.9 |
5. |
12.76 |
43.21 |
29.33 |
30.47 |
32.89 |
38.76 |
18.55 |
27.31 |
28.09 |
5.5 |
19.64 |
44.9 |
35.89 |
37.03 |
38.54 |
41.66 |
27.43 |
32.65 |
32.67 |
6. |
28.64 |
45.96 |
39.65 |
40.79 |
42.3 |
43.78 |
34.87 |
39.76. |
38.15 |
6.5 |
37.96. |
44.67 |
43.02 |
44.16 |
43.99 |
44.74 |
39.77 |
40.32 |
40.43 |
7. |
45.89 |
43.86 |
42.66 |
43.8 |
44.67 |
45.43 |
41.22 |
41.17 |
41.21 |
7.5 |
47.65 |
43.33 |
41.76 |
42.9 |
45.31 |
46.55 |
43.86 |
42.33 |
42.77 |
8. |
47.08 |
43.05 |
41.34 |
42.48 |
46.76 |
47.44 |
44.12 |
43.44 |
43.9 |
其中,a-150μm,b-300μm,c-600μm,bd床深度
![]() |
图1:不同粒径下时间与平衡浓度的穿透曲线(a), b),c)以及床层深度(d), e)和f) 点击这里查看图 |
床深度对吸附能力的影响
表1显示了床深对出口铬浓度的影响吸附。发现最大吸附量为60厘米。最大吸附容量分别为231.65ppm,分别为150μm。该吸附表明,随着吸附床的深度增加,去除也增加。背后的原因可能是因为玻璃柱中的额外剂量的吸附剂。更高的吸附剂深度,金属水通过附加的吸附层,并随着吸附而增加行程时间。突破性曲线可以在图1 d)中可以看出,e)&f)表明,在所有三种情况下,吸附能力随床深增加。
使用响应面优化
CCD在响应面方法中,使用完整的因子来优化实验,表2示出了测试中进行的运行的细节。在3中获得的最大吸附容量理查德·道金斯当吸附剂粒径为150µm、床层深度为60 cm时,试验浓度为231.65 mg/g。从图2的三维响应面图可以看出,最优有效吸附参数为150µm和60 cm,设计值与实验值基本一致。方差分析中的p值和f值也如表3所示P <0.0.5指定模型很重要。表4的拟合统计数据表明,R2=0.96,与所选模型吻合较好。
表2:CR的CCD+6为因素大小和床深
因子1 |
因子2 |
响应1 |
|||
性病 |
集团 |
运行 |
答:尺寸 |
B:床深度 |
吸附能力 |
µm |
厘米 |
Mg / G. |
|||
9. |
1 |
1 |
150 |
40 |
126.45 |
8. |
1 |
2 |
150 |
40 |
125.34 |
2 |
2 |
3. |
150 |
60 |
231.65 |
1 |
2 |
4. |
150 |
20. |
105.43 |
19 |
3. |
5. |
375 |
40 |
87.44 |
18 |
3. |
6. |
375 |
40 |
85.44 |
17 |
3. |
7. |
375 |
40 |
86.31 |
13 |
4. |
8. |
375 |
60 |
98.45 |
12 |
4. |
9. |
375 |
20. |
67.44 |
16 |
5. |
10 |
375 |
40 |
75.76 |
14 |
5. |
11 |
375 |
40 |
77.32 |
15 |
5. |
12 |
375 |
40 |
76.45 |
7. |
6. |
13 |
375 |
40 |
75.34 |
5. |
6. |
14 |
375 |
40 |
77.32 |
6. |
6. |
15 |
375 |
40 |
75.34 |
10 |
7. |
16 |
600 |
40 |
56.45 |
11 |
7. |
17 |
600 |
40 |
57.34 |
4. |
8. |
18 |
600 |
60 |
65.34 |
3. |
8. |
19 |
600 |
20. |
51.22 |
表3:CCD设计值的响应+6吸附
源 |
术语df |
错误df |
f值 |
p值 |
|
全图 |
3. |
3.99 |
19.69 |
0.0075 |
重要的 |
一个大小 |
1 |
4.07 |
50.68 |
0.0019 |
|
A². |
1 |
3.94 |
4.02 |
0.1165 |
|
B². |
1 |
4.02 |
2.16 |
0.2157 |
|
子图 |
2 |
8.79 |
69.02 |
<0.0001. |
重要的 |
B-Bed深度 |
1 |
8.79 |
84.07 |
<0.0001. |
|
ab |
1 |
8.79 |
53.97 |
<0.0001. |
表4:Cr的拟合统计+6吸附
STD。开发。 |
13.70 |
R² |
0.9671 |
的意思是 |
89.57 |
调整R² |
0.9461 |
简历% |
15.29 |
![]() |
图2:CR的响应表面图+6 点击这里查看图 |
结论
采用不同粒径的SSW粉从连续柱固定的水介质中去除铬离子。所选吸附剂可作为一种可重复利用的工业废水处理材料,具有经济意义。对低浓度Cr的吸附能力较差+6,但在较低的初始浓度下,随着时间的推移,浓度增加。150微米大小的新鲜SSW粉末柱吸附8小时可使铬浓度从50ppm降至3ppm。对Cr的吸附能力+6使用SSW吸附剂如下:150微米> 300微米> 600微米。使用SSW作为吸附材料的研究成功了响应表面优化模型。ANOVA在响应表面建模结果中表明了吸附的良好贴合性。在低成本吸附剂的情况下,吸附剂再生是无关的,因为每天产生大量的海运废物。塞斯卡斯吸附剂在重用废物和主要在发展中国家的废物处理方面都有两倍的优势。
参考文献
- 纳齐尔,鲁恰,等。“坦达坝区土壤、水和植物中重金属(Ni、Cu、Cd、Cr、Pb、Zn、Fe)的积累及土壤和水理化参数分析”医药科学与研究杂志7.3(2015):89。
- Bharagava,Ram Naresh和Sandhya Mishra。“纤维素纤维素SP的六价铬降低潜力。从鞣制产业中常见的污水处理厂分离。”生态毒理学与环境安全147(2018):102-109。
CrossRef - 侯赛因,Md Anwar等人。“城市工业化城市地表水的质量和金属污染水平:以孟加拉国吉大港市为例。”工业安全工程学报4.2(2017):9-18。
CrossRef - IgWe,P. U.等人。“对地表水污染环境影响的综述。”国际高级工程研究与科学杂志4.12(2017):237340
CrossRef - 赵增英,等。《光催化还原去除铬污染的研究进展》《化学记录》19.5(2019):873-882。
CrossRef - 彭,郝和景国。“通过膜过滤除去废水,化学沉淀,离子交换,吸附电凝,电化学还原,电渗析,电清除,光催化和纳米技术:综述。”环境化学字母(2020):1-14。
CrossRef - Mohammed, Kemal,和Omprakash Sahu。用膜分离技术从制革工业废水中回收铬:健康和工程方面科学非洲4 (2019):e00096。
CrossRef - mif, Amine等。用纳滤和反渗透膜去除模型水和汽车减震器厂废水中的六价铬国际分析化学杂志2017(2017)。
CrossRef - Ferreira,Larysse Caixeta,等。“Mn(ii)使用由螯合剂和在Loco中产生的螯合剂和生物活性剂组成的乳液液膜从水中除去。”水资源工程学报29(2019):100792。
CrossRef - Khalifa, E. Ben等。响应面法在低成本生物吸附剂吸附除铬中的应用化学计量学和智能实验室系统189 (2019):18-26
CrossRef - afreeze, Sharmeen和Tushar Kanti Sen。农业固体废物吸附剂对水中重金属离子和染料的吸附研究进展水、空气和土壤污染2297(2018):225。
CrossRef - Khalifa, E. Ben等。响应面法在低成本生物吸附剂吸附除铬中的应用化学计量学和智能实验室系统189 (2019):18-26
CrossRef - 巴蒂,伊贾兹·艾哈迈德等人。废轮胎吸附铬及其响应面法条件优化环境化学工程5.3(2017):2740-2751。
CrossRef - Kumar,Dhananjay,Lalit K.Pandey和J.P.Gaur。“藻类生物量的金属吸附:从批量到连续系统。”藻类研究18(2016):95-109。
CrossRef - Van Thuan, Tran等。“响应面法优化koh活性炭从香蕉皮中吸附Cu2+, Ni2+和Pb2+的方法”表面与界面6(2017):209-217。
CrossRef - 溃败,普朗雅兰詹,拉杰什·罗山划分和佩斯彭布尼亚。“通过Dolochar从二元水相中除去营养去除:突出显示优化,单一和二元吸附等温线和营养释放。”过程安全和环境保护100(2016):91-107。
CrossRef - 一个ž嗯哼,Tekin。“RSM在富SH基膨润土吸附Pb (II)和Cu (II)中的应用及二元体系研究。”水处理工程学报31(2019):100867。
CrossRef - Mahmoodi,Niyaz Mohammad,Mohsen Tagizadeh和Ali Taghizadeh。“活性炭/金属 - 有机框架复合材料作为生物的新型绿色吸附剂:制备和数学污染物去除建模。”“分子液”杂志277(2019):310-322。
CrossRef - Magoling,Bryan John Abel和Angelica Angeles Macalalad。“桃花心木果壳活性炭生产优化和响应表面建模,从水溶液中除去铬(VI)”。Bioresources 12.2(2017):3001-3016。
CrossRef - 汗,赛义夫·乌拉等人。电絮凝柱反应器中六价铬的去除:利用CCD、吸附动力学和pH值调节污泥形成的工艺优化工艺安全与环境保护122(2019):118-130。
CrossRef - 赵,南等人。“Cr(vi)和有机污染物对H3PO4治疗生物炭的吸附和共吸收机制。”Chemosphere 186(2017):422-429。
CrossRef - Pantazopoulou, E,和A. Zouboulis。钢包炉渣稳定制革污泥的化学毒性和生态毒性评价环境管理学报216(2018):257-262。
CrossRef
这个作品是根据Creative Commons attage 4.0国际许可证。










